看片网 陆振烟副教授团队在轴子物理领域取得新进展
时间:2024-12-02 来源:看片网 作者:看片网 访问量:
看片网
近日,国际著名物理学期刊《European Physical Journal C》(中科院二区,自然指数期刊)在线发表了我校看片网 陆振烟副教授课题组的研究论文《QCD topology and axion properties in an isotropic hot and dense medium》。本研究的第一作者是2021级物理学专业本科生龚红方,北京航空航天大学博士生卢琪为共同一作, 陆振烟副教授为通讯作者。论文其他合作者还包括看片网 2023级在读研究生王舒鹏、复旦大学博士后刘鹿蒙和南华大学青年教师陈勋博士。

▲EPJC论文看片网
轴子是在20世纪70年代,物理学家为了解决强CP问题而提出的一种中性赝标量粒子。轴子以其微小质量、不带电荷、长寿命和弱相互作用等特点,被认为可能是宇宙中暗物质的主要成分,并在宇宙演化中扮演关键角色。由于其轻微的质量和与标准模型粒子的弱相互作用,轴子在宇宙学和天体物理学领域引起了广泛关注。
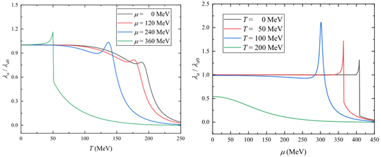
在这项研究中,陆振烟课题组采用了Nambu-Jona-Lasinio(NJL)模型,在有限温有限密度的条件下,研究了theta真空拓扑磁化率、轴子质量和自耦合常数等方面的性质。研究结果表明,随着温度和密度的升高,轴子的质量和拓扑磁化率显著降低,而轴子的自耦合常数在手征相变临界点附近出现尖峰结构。这一发现暗示,在高密度天体如中子星的环境中,轴子自相互作用可能会显著增强,从而导致致密星体内部轴子的玻色-爱因斯坦凝聚态的形成或进一步增强,从而对暗物质的形成和分布产生重要影响,为我们深入理解暗物质的本质提供了新的视角。

▲轴子自耦合常数随温度和化学势的变化关系
陆振烟副教授,从事轴子领域相关研究,指导了多名本科生在国内外高水平期刊上发表相关论文。此前,指导的20级卢琪同学在《物理学报》发表了题为《同位旋非对称强作用物质状态方程及热力学性质》的研究论文。
本研究得到了国家自然科学基金、湖南省自然科学基金、湖南省教育厅科学研究项目以及中国博士后科学基金的资助支持。
正文链接://doi.org/10.1140/epjc/s10052-024-13595-8
(一审:贺祖龙 二审:许英 三审:易贵元)
